发布时间:2026-04-29 10: 00: 00
品牌型号:联想GeekPro 2020
系统:Windows 10 64位专业版
软件版本:Graphpad Prism 10.3.0
我们在绘制数据图表的时候,可能会有一些特殊的需求,比如变量之间的数值差距比较大,要用到2个纵坐标,或者是数据分布得比较分散,要将坐标截成两段等。关于这些需求,其实Graphpad Prism都能轻松搞定,因为它有相当好用的图表格式化功能,接下来我们会介绍Graphpad Prism能做4个纵坐标吗,Graphpad Prism能做维恩图吗的相关内容。
一、Graphpad Prism能做4个纵坐标吗
Graphpad Prism暂时不能做4个纵坐标的图表,但可以做2个纵坐标的。如果实在要做4个纵坐标,也可以用组合的方式,将图表并排放在一起,下面让我们来看看是怎么实现的。
1、我们先来看看Graphpad Prism怎么做2个坐标轴的图表,如图1所示,先画好一个柱状图,然后双击一下y轴,打开纵坐标的格式化功能。

2、然后,在纵坐标的格式化功能中,如图2所示,将默认的“data Set-A”数据集切换到“data Set-B”,也就是另一个变量的数据。

3、切换到“data Set-B”数据集以后,如图3所示,将底部“更多选项”中的“右侧y轴(right y axis)”勾选上,这样就能有2个坐标轴,可以分别对应不同的数据集。

4、完成设置后,返回到柱状图,就能看到有2个纵坐标,分别在图表的左边和右边。如果想让数据展示得清楚一些,可以在y轴标题上标注对应的数据集。

5、画好有2个纵坐标的柱状图后,再继续画另外一个柱状图,然后点击“布局”功能里面的“创建新布局”,将两个图表组合在一起。

6、打开Graphpad Prism的创建新布局功能后,如图6所示,在“页面方向”里选择“横向”,在“标准排版”里面选择“横向两列”的布局。

7、设置好布局以后,如图7所示,将刚才画好的两个柱状图,分别拖放到右侧的布局里面。

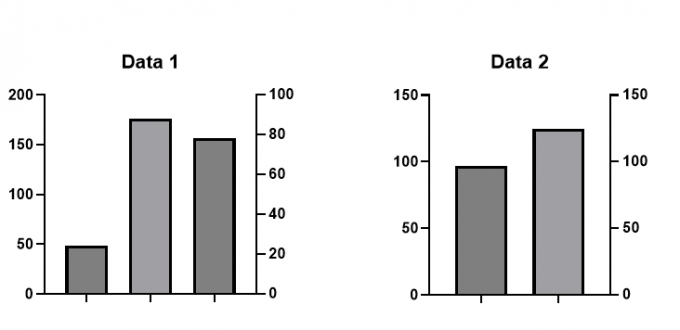
8、放置好柱状图后,如图8所示,就可以在同一个版面里面,看到有4个纵坐标的组合图表。

二、Graphpad Prism能做维恩图吗
Graphpad Prism暂时不能做维恩图,它更适合用来做生物学、药物学等相关的图表,比如生存曲线、ROC曲线等,下面来看看Graphpad Prism可以做哪些图表。
1、如果要看两个变量之间的关系,比如是正相关,还是无相关,或者随着天数的变化,都可以用Graphpad Prism的散点图来看。除了散点图外,Graphpad Prism也能将这些点连起来,组成折线图,如果要看的因变量在两个或以上,还能绘制成多条折线图。

2、如果要对比两个或以上变量的均值差异,比如哪个地区的产量高,哪些班级的平均分高,就可以用Graphpad Prism的柱状图。这些柱状图可以同时显示均值和标准差,这样就能同时看分布特点与离散程度。

3、生存曲线,是医学研究中常用的图表之一,可以用来看某些因素对生存期的影响,Graphpad Prism可以轻松画出这种图表,并可以指定用百分比或者小数来显示数值。

4、一些比较复杂的图表,比如相关性热图,Graphpad Prism也能画,而且我们不用做繁琐的数据转换,Graphpad Prism会直接得出相关性矩阵,并生成热图。

5、如果要展示的变量比较多,像图12所示的例子,要显示GDP、大洲、人口、寿命四组数据,可以用Graphpad Prism画气泡图,通过气泡的大小、颜色来代表不同的变量。

三、小结
以上就是Graphpad Prism能做4个纵坐标吗,Graphpad Prism能做维恩图吗的全部内容了。Graphpad Prism可以在一个图表做2个纵坐标,如果要显示4个纵坐标,可以尝试用布局图表的方式,将两个同类型的表组合在一起。Graphpad Prism的布局功能,除了能实现多坐标轴显示外,也能将不同类型的表放在一起,这样就能更详尽地解释数据。
作者:泽洋
展开阅读全文
︾